skip to main content
Home  /  Research

Current research activities are listed below.

Establishing a Diazo-Forming Enzyme in Escherichia coli to Enable in vivo Carbene Transfer

Scientific Advances

This work represents the first effort towards the expression and characterization of the diazotizing enzyme, AzpL, in E. coli. Heterologous expression of this enzyme could potentially enable access to a two-step biosynthetic pathway where AzpL first generates a diazo species from a primary amine substrate. The diazotized product could then be utilized as a substrate for hemoproteins which have been engineered to utilize diazo compounds as substrates for carbene transfer. Enzymatic carbene transfer has been demonstrated to provide access to challenging, pharmaceutically relevant chemical motifs with unparalleled selectivities. Such an enzymatic cascade would enable access to enzymatic carbene chemistries without the need for addition of exogenous diazos, which are potentially explosive chemicals.

Initial analysis of AzpL with AlphaFold and previous biochemical studies by Kawai and coworkers suggested that this protein is membrane-associated.1 As such, the commercial E. coli strain C41(DE3), a strain with competency for membrane-protein expression, was utilized as an expression host. Though C41(DE3) did seem to express AzpL better than the common laboratory strain BL21(DE3), validation of proper folding and function in this non-native host proved challenging. The reason for this was two-fold. First, characterization of AzpL folding could not be accomplished through direct isolation or through fluorescent techniques due to the inherent difficulties in working with membrane-associating proteins. Finally, synthesis of amine substrates with high molecular to the native substrate of AzpL proved intractable. This made the development of a reliable activity-based assay to confirm the presence of functional enzyme in whole cells impossible. Without substrates that are known to be accepted by this enzyme it could not be determined if the absence of diazo products in biocatalytic reactions was due to expressed protein being nonfunctional or if the presented substrates were simply incompatible with AzpL.

Due to the significant impediments that we encountered during our attempts to build AzpL as a diazotizing platform in E. coli, it is our opinion that further investigations are not warranted at this time. However, this work represents one of the first attempts to synthesize non-native diazo compounds via a natural diazotizing enzyme. Though this work was unsuccessful at this time, the data compiled in the process will prove to be valuable should future efforts towards in vivo biosynthesis of diazo compounds be made.

References

(1) Kawai, S.; Sugaya, Y.; Hagihara, H.; Katsuyama, Y.; Ohnishi, Y. Angew. Chem. Int. Ed. 2021, 60, 2-9.

Inhalation Dosimetry for Ultrafine Particles

This project had, as the primary focus, the development new low cost sensors capable of assessment of the dose to different regions of the airways when fine particles are inhaled. Present ambient air quality measurements focus on exposure rather than dose. The primary exposure measurement today is PM2.5, the mass concentration of particles smaller than 2.5 µm aerodynamic diameter. Air quality standards are written in terms of this metric, which also serves as the primary measure of fine particle exposure in many research studies. Many particles in the size range, when inhale remain suspended in the air and are exhaled without depositing. Thus, PM2.5 measurements report an amount particulate matter that is larger than deposited in the airways.

Nonetheless, a statistical links between PM2.5 exposure and number of adverse health outcomes are well-established. What is not clear, is an appropriate measure of dose in the effort to understand the origins or causes of adverse health outcomes. Numerous studies have suggested alternative metrics. In studies of the potential health consequences of workplace exposures in the burgeoning nanotechnology industry have suggested that deposited surface area may be a more relevant measure of dose to sensitive regions of airways, at least for some varieties of engineered nanoparticles. A number of instruments have been developed of lung- deposited surface area, using the rate relationship between particle charging and surface area to infer the area of particles that may deposit in a system in which deposition efficiency is intentionally biased to match the deposition profile of the respiratory tract. Several other studies have measured the aerosol number concentration in order to infer the number of fine particles that might deposit within the airways, and have found strong associations with short- term responses, on the order of hours or less, particularly with respect to a heart rate variability. The preponderance of data on fine particle exposures report PM2.5; lesser amounts provide other measures of exposure. Optical dust sensors (low cost optical particle counters) are increasingly being used to provide a surrogate for PM2.5 though they are insensitive to ultrafine particles, even in the rare instances when they account for significant aerosol mass. Condensation particle counter measurements of the number concentration are fairly common in air quality studies.

The working hypothesis of this study is that data that enables estimation of the dose in terms of these different metrics that is delivered to different regions of the airways will enhance the ability of epidemiological and other health effects studies to examine physiological mechanisms behind adverse health outcomes and to discriminate between different sources of airborne fine particles. Furthermore, the power of such studies will be greatly enhanced if instruments can be made sufficiently small, unobtrusive, and low cost that they can be deployed as personal dosimeters in cohort studies, or in dense networks in community health studies. All three measures of dose of inhaled fine particles can be provided today using a combination of particle size distribution data obtained by commercially available differential mobility analyzers (DMAs) and established lung deposition models that predict the inhaled-particle deposition efficiency inmdifferent regions of the human airways as a function of particle size. Present DMAs are, however, far to large, complex, and expensive to satisfy the latter constraints.

This study has examined how this class of measurements could be adapted to meet the needs of the health effects research community. Using atmospheric simulations of major pollution events and validated models of DMAs and other aerosol instruments, we have demonstrated that biases in estimation of regional airway deposition using size distribution data are minimal, even when the instruments have much lower size resolution than is needed for many atmospheric science application. Moreover, we have examined the biases that associated with present-day fine particle exposure measurements. Only size-resolved measurements provide a useful correlation with all three metrics.

The ability to make measurements at relatively low size resolution relaxes many design constrains, opening the door to dramatic reductions in instrument cost. By applying these simplified design specifications to the opposed migration aerosol classifier (OMAC), a new form of differential mobility analyzer that allows instrument miniaturization, this project has focused on the development of fine aerosol particle dosimetry instruments that will enable the aforementioned improvements in the health effects of fine particle exposures. Over the past year, we have demonstrated that an OMAC that was designed based on computational simulations performs as predicted, and explored several alternative approaches to the design of the low cost, size-resolving fine particle sensor. In side-by-side comparisons with a conventional, high resolution scanning mobility particle sizer (SMPS), a new, low-size-resolution OMAC effectively captured rapid transients in exposure and dose of fine airborne particles.

Additional refinements are being implemented in new low-cost designs, that will further simplify the instruments toward our objective of enabling scientifically valid measurement of exposure and dose of ultrafine particles in personal monitors and community air quality monitors.

PROJECT: "Microbial-enrichment method enables high-throughput metagenomic characterization from host-rich samples"

Associated Publication: Natalie J. Wu-Woods, Jacob T. Barlow, Florian Trigodet, Dustin G. Shaw, Anna E. Romano, Bana Jabri, A. Murat Eren, Rustem F. Ismagilov. 2023. "Microbial-enrichment method enables high-throughput metagenomic characterization from host-rich samples." Nature Methods. doi: 10.1038/s41592-023-02025-4.

Abstract: Host–microbe interactions have been linked to health and disease states through the use of microbial taxonomic profiling, mostly via 16S ribosomal RNA gene sequencing. However, many mechanistic insights remain elusive, in part because studying the genomes of microbes associated with mammalian tissue is difficult due to the high ratio of host to microbial DNA in such samples. Here we describe a microbial-enrichment method (MEM), which we demonstrate on a wide range of sample types, including saliva, stool, intestinal scrapings, and intestinal mucosal biopsies. MEM enabled high-throughput characterization of microbial metagenomes from human intestinal biopsies by reducing host DNA more than 1,000-fold with minimal microbial community changes (roughly 90% of taxa had no significant differences between MEM-treated and untreated control groups). Shotgun sequencing of MEM-treated human intestinal biopsies enabled characterization of both high- and low-abundance microbial taxa, pathways, and genes longitudinally along the gastrointestinal tract. We report the construction of metagenome-assembled genomes directly from human intestinal biopsies for bacteria and archaea at relative abundances as low as 1%. Analysis of metagenome-assembled genomes reveals distinct subpopulation structures between the small and large intestine for some taxa. MEM opens a path for the microbiome field to acquire deeper insights into host–microbe interactions by enabling in-depth characterization of host-tissue-associated microbial communities.

PROJECT: "Quantitative whole-tissue 3D imaging reveals bacteria in close association with mouse jejunum mucosa"

Associated Publication: Roberta Poceviciute, Said R. Bogatyrev, Anna E. Romano, Amanda H. Dilmore, Octavio Mondragón-Palomino, Heli Takko, Ojas Pradhan, Rustem F. Ismagilov. 2023. "Quantitative whole-tissue 3D imaging reveals bacteria in close association with mouse jejunum mucosa." npj Biofilms and Microbiomes 9, 64. doi: 10.1038/s41522-023-00423-2.

Abstract: Because the small intestine (SI) epithelium lacks a thick protective mucus layer, microbes that colonize the thin SI mucosa may exert a substantial effect on the host. For example, bacterial colonization of the human SI may contribute to environmental enteropathy dysfunction (EED) in malnourished children. Thus far, potential bacterial colonization of the mucosal surface of the SI has only been documented in disease states, suggesting mucosal colonization is rare, likely requiring multiple perturbations. Furthermore, conclusive proof of bacterial colonization of the SI mucosal surface is challenging, and the three-dimensional (3D) spatial structure of mucosal colonies remains unknown. Here, we tested whether we could induce dense bacterial association with jejunum mucosa by subjecting mice to a combination of malnutrition and oral co-gavage with a bacterial cocktail (E. coli and Bacteroides spp.) known to induce EED. To visualize these events, we optimized our previously developed whole-tissue 3D imaging tools with third-generation hybridization chain reaction (HCR v3.0) probes. Only in mice that were malnourished and gavaged with the bacterial cocktail did we detect dense bacterial clusters surrounding intestinal villi suggestive of colonization. Furthermore, in these mice we detected villus loss, which may represent one possible consequence that bacterial colonization of the SI mucosa has on the host. Our results suggest that dense bacterial colonization of jejunum mucosa is possible in the presence of multiple perturbations and that whole-tissue 3D imaging tools can enable the study of these rare events.

PROJECT: "Analyzing factors affecting performance of SARS-CoV-2 testing"

Associated Publications:

Jenny Ji*, Alexander Viloria Winnett*, Natasha Shelby, Jessica A. Reyes, Noah W. Schlenker, Hannah Davich, Saharai Caldera, Colten Tognazzini, Ying-Ying Goh, Matt Feaster, Rustem F. Ismagilov. 2023. "Index Cases First Identified by Nasal-Swab Rapid COVID-19 Tests Had More Transmission to Household Contacts Than Cases Identified by Other Test Types." PLOS ONE 18(10): e0292389. doi: 10.1371/journal.pone.0292389.

Alexander Viloria Winnett*, Reid Akana*, Natasha Shelby*, Hannah Davich, Saharai Caldera, Taikun Yamada, John Raymond B. Reyna, Anna E. Romano, Alyssa M. Carter, Mi Kyung Kim, Matt Thomson, Colten Tognazzini, Matthew Feaster, Ying-Ying Goh, Yap Ching Chew, Rustem F. Ismagilov. 2023. "Daily SARS-CoV-2 Nasal Antigen Tests Miss Infected and Presumably Infectious People Due to Viral-Load Differences Among Specimen Types." Microbiology Spectrum 11(4): e01295-23. doi: 10.1128/spectrum.01295-23.

Alexander Viloria Winnett*, Reid Akana*, Natasha Shelby*, Hannah Davich, Saharai Caldera, Taikun Yamada, John Raymond B. Reyna, Anna E. Romano, Alyssa M. Carter, Mi Kyung Kim, Matt Thomson, Colten Tognazzini, Matthew Feaster, Ying-Ying Goh, Yap Ching Chew, Rustem F. Ismagilov. 2023. "Extreme differences in SARS-CoV-2 viral loads among respiratory specimen types during presumed pre-infectious and infectious periods." PNAS Nexus 2(3): pgad033. doi:10.1093/pnasnexus/pgad033.

Alyssa M. Carter*, Alexander Viloria Winnett*, Anna E. Romano, Reid Akana, Natasha Shelby, Rustem F. Ismagilov. 2023. "Laboratory Evaluation Links Some False-Positive COVID-19 Antigen Test Results Observed in a Field Study to a Specific Lot of Test Strips." Open Forum Infectious Diseases. 10(1): ofac701.

Associated Pre-prints:

Michael K. Porter, Alexander Viloria Winnett, Linhui Hao, Natasha Shelby, Jessica A. Reyes, Noah W. Schlenker, Anna E. Romano, Colton Tognazzini, Matthew Feaster, Ying-Ying Goh, Michael Gale Jr., Rustem F. Ismagilov. 2023. "The ratio between SARS-CoV-2 RNA viral load and culturable viral titer differs depending on stage of infection." medRxiv doi: 10.1101/2023.07.06.23292300.

Jenny Ji*, Alexander Viloria Winnett*, Natasha Shelby, Jessica A. Reyes, Noah W. Schlenker, Hannah Davich, Saharai Caldera, Colten Tognazzini, Ying-Ying Goh, Matt Feaster, Rustem F. Ismagilov. 2023. "Index Cases First Identified by Nasal-Swab Rapid COVID-19 Tests Had More Transmission to Household Contacts Than Cases Identified by Other Test Types." medRxiv doi: 10.1101/2023.03.09.23286855.

With partial JIMEM support, we published 4 peer-reviewed publications and have released 2 pre-prints (currently under peer-review) that make several key observations on the efficacy of SARS-CoV-2 testing.

By conducting a community-based study of COVID-19 household transmission, participants at risk of incident SARS-CoV-2 infection prospectively collected saliva, nasal swabs, and throat swabs every day. From individuals who became infected, we were able to quantify the rise and fall of the amount of virus in each specimen type throughout the full course of the infection. This revealed several critical findings.

First, we found that SARS-CoV-2 RNA is found in saliva and throat swabs days before nasal swabs for most individuals. For this reason, testing using nasal swabs, even using a high-analytical-sensitivity test, may not detect infection.

Second, we found that there can be extreme differences in the amount of virus in each specimen type collected by an individual at the same timepoint. For example, throat swabs can have very high, presumably infectious amounts of virus, while nasal swabs may have low or undetectable amounts of virus. This suggests that individuals who are not only infected but infectious may be missed if tested by only one specimen type.

Apart from the specimen type tested, the analytical sensitivity of the test could also impact detection of infected and infectious individuals. Rapid COVID-19 tests have low-analytical-sensitivity, meaning they require high amounts of virus in order to reliably yield a positive result. For this reason, some have argued that rapid tests may more specifically identify infectious individuals, rather than those who are infected but not infectious. This would be the case if the specimen type tested represents the infectiousness of all upper respiratory sources of infectious virus, and if the amount of virus required to result positive on the test matches the amount of virus required for an individual to be infectious.

While our second finding demonstrated that individuals can be infectious at different times for different specimen types, our third finding demonstrated that there is no static threshold for the amount of virus that indicates infectiousness. Rather, at the beginning of the infection, low amounts of virus may indicate infectiousness, while later in the infection, when the immune response has begun to neutralize virus, higher amounts of virus are necessary to indicate infectiousness. Therefore, tests that require high amounts of virus to yield a positive result are not likely to detect individuals who may have low but infectious viral loads at the beginning of the infection.

Indeed, our fourth finding was that infected and infectious participants in our study who took a nasal swab rapid COVID-19 test were frequently missed by the test during the early period of infection, even when taken every day.

Given the first four findings, we performed an epidemiological analysis of transmission within households enrolled in our study to assess whether the type of test used to first identify household index cases had an effect on the amount of subsequent transmission to household contacts. Our fifth finding was that index cases first identified as infected by a rapid nasal swab test, which may miss infectious individuals at the beginning of the infection, had higher transmission to household contacts than index cases first identified as infected using other test types. This suggests that the use of rapid nasal swab tests for screening testing may not limit transmission as effectively as other test types.

Apart from false negative results that fail to identify and prompt isolation of infectious individuals, COVID-19 tests may also yield false positive results. Among the individuals in our study who took a daily nasal swab rapid COVID-19 test, we observed a string of false positive results during a two-week period of the study. We investigated the cause of these false positive results, and to reveal our sixth finding, that this elevated false positive antigen test rate originated from a single lot of test strips, likely due to a manufacturing or distribution issue with this lot. Quality control of antigen test lots could reduce the occurrence of false positive results that unnecessarily result in isolation or treatment of individuals and use of contact tracing or testing resources.

Please see the publications/preprints for full details of each study.

A. Ballistic Drug Delivery to the Cornea

The clinical motivation for this project increased last year due to the topline results of a Phase 1/2a clinical trial of supplementation of corneal Cu2+ via topic drops, which showed no drug-related adverse effects and showed that a 16-week treatment provides statistically significant flattening of the high curvature in the corneas of keratoconus patients and correlated improvements in visual acuity. The challenge of patient compliance with a regimen of eye drop application over a period of many months motivates delivery of sustained release Cu2+ in the cornea. Our prior accomplishments in delivery of microparticles to the cornea provide a starting point for delivery of copper-releasing particles. In addition to determining the kinetic energy to embed microparticles in the cornea, we observed in ex vivo porcine eyes that particle delivery left no visible modification of the cornea or its surface. With JIMEM support specifically for copper delivery, our lab demonstrated a pre-clinical prototype device for delivery of particles to the cornea.

In our preceding JIMEM report, we presented the discovery of anterior migration of microparticles delivered into the corneal epithelium. Over the past year, we succeeded in delivering particles to the corneal stroma and discovered that microparticles delivered into the stroma are retained in the tissue (Figure). Thus, the JIMEM project is leading to new IP that covers two different ways that therapeutic particle delivery to the cornea could be used clinically: short term delivery to the epithelium permits spatially-resolved treatment (with spatial resolution that scales as the square root of the drug diffusivity and residence time) and dose control by virtue of the residence time of the particles; and long term delivery to the stroma permits sustained release over periods of weeks to months.

B. Thinner, Radiopaque Bioresorbable Vascular Scaffolds for the Treatment of Coronary Heart Disease

Seed funding from JIMEM has led to ongoing research collaborations with Argonne National Labs, Warwick University, and Queen's University Belfast, with recent results described in two additional publications during the past year.

Publications:

Magee, E.; Tang, F.; Ozdemir, E.; Walker, M.; Di Luccio, T.; and Kornfield, J.A., "WS2 Nanotubes as a 1D Functional Filler for Melt Mixing with Poly (lactic acid): Implications for Composites Manufacture", CS Appl. Nano Mater., 5, pp. 6385–6397 (2022).

Ramachandran, K.; Shao, Z.; Di Luccio, T.; Shen, B.: Bello, E.E.R.; Tammaro, L.; Villani, F.; Loffredo, F.; Borriello, C.; Di Benedetto, F.; Magee, E.; McNally, T.; Kornfield, J.A. "Tungsten disulfide nanotubes enhance flow-induced crystallization and radio-opacity of polylactide without adversely affecting in vitro toxicity," Acta Biomaterialia 138, pp. 313-326 (2022).

Fig.1

FIGURE: (left) A single "slice" of an optical coherence tomograph (OCT) of a cornea in which particles have been delivered. (center) Positions of particles that entered the cornea. (right) Depths of particles as a function of time; dashed line indicates the position of the boundary between the epithelium and the stroma; over the first several hours, particles that are initially in the epithelium are observed at shallower depths and then leave the tissue through its anterior surface; particles that are initially in the stroma show changes in depth that remain within the stroma for the duration of the experiment.

Imaging Biological Energy Carrier Populations at Microbe-Electrode Interfaces

Medical implants can potentially restore or enhance a biomedical function in patients, yet the presence of implants in the human body can induce local swelling and immune responses that hamper their efficacy. Current methods for therapeutic drug-delivery at medical implant sites require high drug doses that can lead to un-wanted side effects. With the help of the Jacobs Institute funding, we aim to engineer microbes that can themselves deliver therapeutic drugs at medical implant sites, in response to their environment. In doing so, we seek to improve medical device longevity while mitigating off-target drug effects.

The task of designing microbes that can deliver drugs while preventing the microbes from unwanted proliferation in the body (e.g., infection) is difficult. To control the growth of these microbes, we propose to engineer microbes that require an external input in order to stay alive – in our case, electricity. In this way, the microbes can only survive if we decide to send them an electrical current. Such an approach has never been implemented before. Thus, our research with Jacobs Institute support has focused on developing a better understanding of how microbes can directly interact with an electrical current that is "fed" to them.

Interactions between non-living electrode materials and living biological organisms like microbes require specialized approaches to understand the mechanism of interaction. Toward that end, we have developed new tools to study how microbes consume electricity. During our first year of Jacobs Institute funding, we have designed new scientific instrumentation to directly image with a microscope the effect of supplying electrons to bacteria, validated this new microscopy technique using benchmark assays, and have grown bacteria that utilize electrode-delivered electrons to survive. These initial efforts lay the groundwork for obtaining a better understanding of how microbes utilize electricity to grow, and such understanding is crucial for engineering microbes for drug delivery.

Our future work will focus on genetically engineering bacteria such as E. coli which will be imbued with the ability to consume electricity. Many tools exist for genetically engineering E. coli, so development of these microbes as a platform for electricity consumption and drug synthesis/delivery is highly desirable. Insights from this research program will provide design rules for scientists, engineers, and clinicians to create implantable bio-electrodes for controllable drug delivery at medical implant sites.

Academic Outputs:

  • Research Poster: Imaging Biological Electron Transfer in Electro-Active Bacteria, Jeffrey T. DuBose, James B. Wang, Karthish Manthiram, Gordon Research Conference on Electrochemistry, Ventura, CA (January 2024)
  • Postdoctoral Fellowship: Electrifying Extremophiles for Bio-Manufacturing, Jeffrey T. DuBose, Intelligence Community Postdoctoral Fellowship (ICPD-2023-25) – Preliminary results obtained via Jacobs Institute support enabled successful application to this program

Remote-Controlled Macrophages as Trojan Horses for Brain Cancer Immunotherapy

Glioblastoma multiforme (GBM) is the most common brain cancer and has a very poor prognosis, with a median survival of 14 months1. Cellular immunotherapy has enormous potential to improve the prognosis of this prognosis, but has been limited by the inability of immunotherapy to overcome the immunosuppressive tumor microenvironment. With the support of the Jacobs Institute for Molecular Engineering in Medicine, we have been developing engineered "Trojan horse" cells capable of secreting inflammatory signals inside tumors following spatially restricted activation with focused ultrasound hyperthermia. This strategy takes advantage of previous work in our lab to control immune cells using thermal control of heat-shock promoters (HSPs)2. Our work harnesses macrophages, a cell type that makes up close to 30% of the GBM microenvironment3,4. These macrophages can be recruited from circulation, enabling these cells to traffic into tumors5. Once inside the tumor, these macrophages can be activated to secrete pro-inflammatory cytokines using focused ultrasound. We are in the process of preparing a manuscript to present our experimental findings and conclusions.

References

  1. Dubrow R, Darefsky AS. Demographic variation in incidence of adult glioma by subtype, United States, 1992-2007. BMC Cancer. 2011 Jul 29;11:325. doi: 10.1186/1471-2407-11-325. PMID: 21801393; PMCID: PMC3163630.
  2. Abedi MH, Lee J, Piraner DI, Shapiro MG. Thermal Control of Engineered T-cells. ACS Synth Biol. 2020 Aug 21;9(8):1941-1950. doi: 10.1021/acssynbio.0c00238. Epub 2020 Aug 4. PMID: 32786924.
  3. Andersen JK, Miletic H, Hossain JA. Tumor-Associated Macrophages in Gliomas-Basic Insights and Treatment Opportunities. Cancers (Basel). 2022 Mar 4;14(5):1319. doi: 10.3390/cancers14051319. PMID: 35267626; PMCID: PMC8909866.
  4. Hambardzumyan D, Gutmann DH, Kettenmann H. The role of microglia and macrophages in glioma maintenance and progression. Nat Neurosci. 2016 Jan;19(1):20-7. doi: 10.1038/nn.4185. PMID: 26713745; PMCID: PMC4876023.
  5. Wei J, Marisetty A, Schrand B, Gabrusiewicz K, Hashimoto Y, Ott M, Grami Z, Kong LY, Ling X, Caruso H, Zhou S, Wang YA, Fuller GN, Huse J, Gilboa E, Kang N, Huang X, Verhaak R, Li S, Heimberger AB. Osteopontin mediates glioblastoma-associated macrophage infiltration and is a potential therapeutic target. J Clin Invest. 2019 Jan 2;129(1):137-149. doi: 10.1172/JCI121266. Epub 2018 Nov 19. PMID: 30307407; PMCID: PMC6307970.

Understanding Polymicrobial Infection: Competitive Strategies in Pseudomonas aeruginosa and Staphylococcus aureus

Part 1. Interspecies interactions play important roles in mediating the progression of chronic infection as well as patient response to treatment. For example, coinfection with P. aeruginosa and S. aureus is associated with more severe symptoms in cystic fibrosis (CF) patients as compared to infection with either pathogen alone, and the presence of both pathogens alters patient mucus production, immune response and lung cell metabolism. Furthermore, co-culture with P. aeruginosa has been shown to select for S. aureus small-colony variants (SCVs), which appear to enter a "persister-like" state of quasi-dormancy characterized by reduced metabolism and elevated antibiotic tolerance. S. aureus SCVs are often isolated from therapy-resistant patients with chronic CF infections, pointing to their contribution to establishing long-term infection in the CF lung environment and creating challenges for effective antibiotic treatment. This project is motivated by our conviction that enhanced understanding of P. aeruginosaS. aureus interaction is needed to provide a basis for new strategies for treatment of chronic infection.

The most striking result of our work on this project over the last year is the observation that cell-selective proteomic profiling of S. aureus in co-culture with P. aeruginosa consistently reveals significantly reduced abundance of Staphylococcal phenol-soluble modulins (PSMs) in co-culture vs. mono-culture. PSMs are small peptidyl virulence factors known to play multiple roles in Staphylococcal pathogenesis and biofilm development. We are working with Dominque Limoli and her coworkers at the University of Iowa to establish the mechanism by which DSM abundance is reduced in co-culture as well as the implications of this observation for the progression and treatment of polymicrobial infection.

Part 2. The Jacobs Institute for Molecular Engineering for Medicine has provided consistent support for research in the Tirrell laboratory on the development of probes of protein synthesis and tools for protein engineering, with specific emphasis on clinical challenges. In 2015, Alborz Mahdavi, who earned his Ph.D. in bioengineering in the Tirrell laboratory, founded Protomer Technologies to create protein therapeutics that can be activated by small-molecule disease markers to achieve autonomous control of drug dosage. On July 14, 2021, Eli Lilly announced its acquisition of the Pasadena-based company: https://investor.lilly.com/news-releases/news-release-details/lilly-announces-acquisition-protomer-technologies. According to the Lilly announcement, the "potential value of the transaction is over $1 billion, with successful achievement of future development and commercial milestones." An early development target for Protomer has been a glucose-responsive form of insulin. Ruth Gimeno, vice president of diabetes research and clinical investigation at Lilly, is quoted as saying, "Glucose-sensing insulin is the next frontier and has the potential to revolutionize the treatment and quality of life of people with diabetes by dramatically improving both therapeutic efficacy and safety of insulin therapy."

Electrostatics of Polyelectrolyte Self Assembly

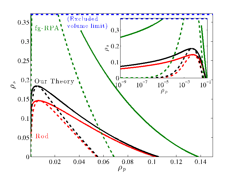
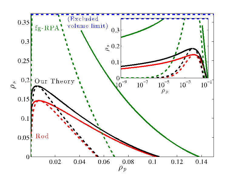
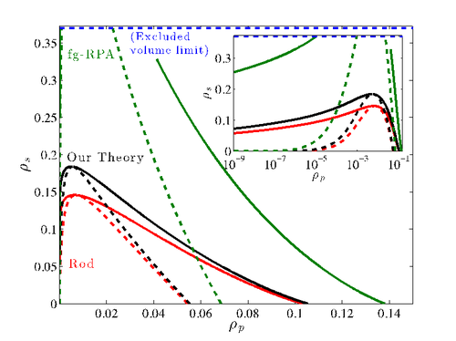
Many biomolecules are charged polymers, or polyelectrolytes – for example, the genetic material RNA and DNA have negatively charged backbones, while many intrinsically disordered proteins have mixed charges along their backbone. The charge on these biomolecules results in a wide range of self-assembly behaviors, from viral assembly to the formation of membraneless organelles, and can be leveraged to produce nanoparticles for the medical delivery of biomolecules. In this reporting period, we used our group's variational theory of charged macromolecules to study the thermodynamics of polyelectrolyte phase separation in the presence of salt, which is always present under physiological conditions. The variational theory is able to describe how chain structure varies under changing solution conditions, and we show how failure to do so in previous theories leads to significant overestimates of the driving force for phase separation. Our work demonstrates how appropriately describing chain structure is critical to accurately predicting the complexation of polyelectrolytes.

wang lab pic

FIGURE: Phase boundaries for symmetric solutions of polyecations and polyanions with added salt; dashed lines demarcate the metastability limit. We compare our theory (black), which accounts for changing chain structure over different concentrations, to the commonly-used fg-RPA (green) which assumes a Gaussian chain structure at all length scales, and rods (red). Note that the fg-RPA suggests phase separations can persist even up to the limit where the solution is very nearly all salt (blue dashed line). Inset shows the overly dilute low-concentration branch predicted by the fg-RPA.